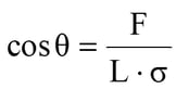
2026年4月16日 シングルファイバーの動的接触角測定による濡れ性評価 評価原理 接触角 表面張力・界面張力 INDEX ここでは、Tensiioによるシングルファイバー(毛髪やカーボンファイバー、光ファイバー、半導体用ワイヤソー、ファイバーカテーテルなど)の濡れ性評価手法として、ウィルヘルミー法に基づく動的接触角測定について解説します。 シングルファイバー測定概要 シングルファイバーは直径が非常に細く、従来の粉体・繊維束向け測定法(ウォッシュバーン法や液滴法など)では個々の特性を正確に評価することが困難でした。ウォッシュバーン法では束としての平均値しか得られず、液滴法では微小液滴形成や表面ばらつきの影響により安定した測定が難しいという課題があります。これらの課題に対し、ウィルヘルミー法に基づくシングルファイバー動的接触角測定を用いることで、シングルファイバーの前進・後退接触角を高感度に測定することが可能となります。また、水やジヨードメタンを溶媒に使用することで、表面自由エネルギーを算出することもできます。 測定原理(ウィルヘルミー法) ウィルヘルミー法では、液体中に繊維を浸漬・引き上げする際に発生する微小な荷重変化を測定し、既知の液体表面張力と濡れ長さから接触角を算出します。ウィルヘルミーの式は以下の通りです(θ:接触角、σ:液体の表面張力、L:固体の濡れ長さ、F:固体/液体の界面張力)。 シングルファイバーは濡れ長さが極めて短いため、超高感度天秤を内蔵した表面張力計が必要となります。Tensiio 1 は高い荷重分解能を有し、単一ファイバーでの測定に対応しています。 図:後退接触角測定時の模式図 毛髪の測定 毛髪サンプルで水を用いた動的接触角測定を行うことが可能です。毛髪から切り出したサンプルを使用することで、前進・後退接触角を測定できます。毛髪表面特性の違いを前進角/後退角、または接触角ヒステリシス(前進角と後退角の差)として調べることが可能です。 図:サンプルの設置の仕方と得られるデータ例 図:毛髪サンプルの測定グラフ例(縦軸:接触角、横軸:サンプルの浸漬深さ) 表:毛髪サンプルの水に対する測定結果例 平均前進角(°) 平均後退角(°) 毛髪A 107.02 ± 4.51 41.18 ± 7.90 毛髪B 99.41 ± 1.09 30.21 ± 4.86 カーボンファイバーの測定 Tensiioでは、直径約7 µmのカーボンファイバーに対し、動的接触角測定を行うことができます。5本同時測定用の専用サンプルホルダーを使用することでデータの信号対雑音比をより良くすることも可能です。 図:カーボンファイバーサンプルの測定グラフ例(縦軸:接触角、横軸:サンプルの浸漬深さ) 図:5本同時測定用サンプルホルダー 表:カーボンファイバーサンプルの水に対する接触角測定結果例 平均前進角(°) 平均後退角(°) カーボンファイバーA 75.2±4.2 39.2±8.5 カーボンファイバーB 78.8±4.6 40.4±9.3 KRÜSS GmbH Application Report AR298(2025) まとめ シングルファイバーの濡れ性評価には、ウィルヘルミー法に基づく動的接触角測定が有効です。 Tensiio 1 により、毛髪、一般繊維、カーボンファイバーなど多様なシングルファイバーを1本単位で評価できます。光ファイバーや、半導体用ワイヤソー、ファイバーカテーテルなどの評価にも極めて有効と考えられます。 本手法は、表面均一性、ダメージ、親水・疎水性の違いを定量的に把握する実用的な評価手段です。 関連するコンテンツ 界面科学のアプリケーションレポート 接着とは何か? 脱濡れと濡れ性(接触角)の違いとは? KRUSSの参考文献リスト お役立ち情報ダウンロード 表面張力ガイドブック ハンディ動的表面張力計BPT Mobileの界面活性剤濃度のモニタリング機能 関連製品 多機能自動表面張力計 Tensiio(テンシオ) シングル・マルチファイバー接触角計/高感度表面張力計 Tensiio1(テンシオ1) 多機能自動表面張力計 臨界ミセル濃度(CMC)測定モデル Tensiio(テンシオ)CMC ペンダントドロップ式表面・界面張力計 DSA25 / DSAシリーズ バブルプレッシャー式動的表面張力計 BP100 バブルプレッシャー式ハンディ動的表面張力計 BPT Mobile(BPT モバイル) スピニングドロップ式界面張力計 SDT 簡易表面張力計 K20 シェア ツイート